日期:2021-09-01 10:29:52作者:航利航空教育图片:未知人气:+

以下文章来源公众号:在云端航空
众所周知,飞机由于运量较小、建造和使用成本高等特点,属于交通运输的“奢侈品”。即便如此,飞机票也有便宜的时候。”
飞机不像铁路运输采用政府垄断定价的固定价格模式,而是根据市场变化,浮动定价。同一条航线,不同的航空公司,飞行时间,不同的舱位,航班时间都会影响到机票价格。飞机票该如何定价?这无疑是航空公司最关心的问题。
你顶多买得起这个价的飞机票
对于飞机票,每个消费者都有可承受的价格上限(具体上限值因人而异),一旦机票超过这个上限就会放弃购买。比如很多消费者就认为京沪线的机票价格不能超出京沪高铁太多,否则乘飞机不如坐高铁。
对航空公司而言,就是追求利益最大化。如何利益最大化?他们会费尽心机分析出消费者愿意付出的价格上限,然后恰好把价格定在那个位置上。因此,航空公司会采用价格歧视的定价手段。

所谓价格歧视,是指商品或服务的提供者在向不同的接受者提供相同等级、相同质量的商品或服务时,在接受者之间实行不同的销售价格或收费标准。说白了,就是销售同样的商品或服务,但对不同的人收不同的价,就好像在小商品市场里买衣服,最后多少钱成交,全看自己的砍价功力。
对航空公司来说,采用价格歧视的定价手段才能做到将经济利润最大化,将该拿的钱一分不少全拿到。如果对每一位消费者都区别定价(一级价格歧视),成本显然太高也不切实际。

所以航空公司往往采用三级价格歧视,即根据不同市场的消费者、不同的供求状况来区别定价,比如节假日机票价格往往都会上涨 50% 以上。
那就按照这个上限价格卖给你
但这里有一个问题:一个航班的座位数是有限的,怎样给有不同价格上限的消费者做销售分配?即不同价格的票分别划分出多少张来卖才合适?
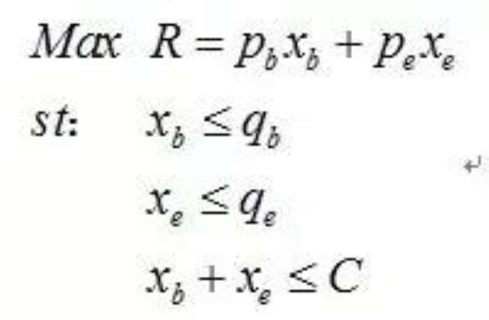
我们用一个最简单的例子来说明。假设现在选择某一条航线的乘客只有两类,他们能承受的机票单价上限分别是 p b 和 p e 。航空公司拟定向这两类消费者出售的机票数量分别是 x b 和 x e 。由此产生的总收入就是:

因为飞机上座位的数量都是有限的,所以收入有约束条件:
首先两种不同价格的机票数加起来不能超过飞机总座位数 C,即 x b + x e ≤ C;其次航空公司也会为两种价格的机票数量各自划定上限,低价票的数量应当不超过市场上对低价票有需求的消费者总数量 q b ,即 x b ≤ q b 。
类似的,高价票的数量也应当不超过市场上高价票有需求的消费者总数量 q e ,即 x e ≤ q e 。
由此们就可以把航空公司收益最大化问题转化为一个简单的线性规划问题:

在这个线性规划问题中,可变量是售出的座位数 x b 和 x e ,我们在一个二维平面中画出约束来:

不难发现,在可行域中,有一点能够使得收入函数 R 有最大值,那就是 A 点,在 A 点左下方的区域,有座位并没卖出去使得低价位座位的收益减少,A 点右下方的区域贱卖了高价座位,从而使得整体收益减少。
从这里我们也可以看出,航空公司收益最大化的策略很简单:先想办法把高价位的座位塞满,再把剩下的乘客填到低价位座位去。

但如果高价票和低价票毫无差别,即便可以接受更高价格的消费者也会选择低价票。为了让能买高价票的乘客心甘情愿地买高价票,航空公司会制定各种各样的游戏规则。
最典型的是订票时间差异化,例如想放假回家的大学生往往会提前一个月就订票,而商务人士则有可能上午才买下午的票。注意,因为突发事件或有某种需求急需乘机的消费者也属于能接受高价票的消费群体,这时他们为了到达顺利目的地愿意掏钱,这正是节假日时飞机票价格疯涨的原因—— qe 大大提高了。

除此之外,低价票还常常附加诸如不退票、不改签等限制。这些正是航空公司“制造差异化”的表现所在。
票数分好了,价格定多少
且慢,这里仍然有一个问题。通过上面的讨论我们知道航空公司会根据消费者市场差异化定价。但这个价格具体定多少是怎么得出的?这是个复杂的问题,有数学上运用随机过程进行分析的,也有经济学上用均衡价格进行分析的,而实际中各个航空公司的算法也很可能各有不同。但其实也可以用一个很简单的原理来可以来分析,那就是机会成本。
所谓机会成本,是指在面临多方案的选择决策时,被放弃的选择所能带来的总收益。好比你把手上一笔钱买了股票 A 而没有买股票 B、C、D、E,那么股票 B、C、D、E 中收益最高的那只股票产生的收益就是你买 A 的机会成本。

对航空公司来说,他们以价格 p 卖出一张机票的机会成本就是“在飞机起飞前人们愿意购买这张机票的最高价格p* (p*>p)”。
所以,只要能够预测出这个事件发生的概率,然后再用 p* 乘以概率,来和 p 比较,就可以决定是否该把机票价格定为 p。但是直接推算 p* 出现的概率是很难的,幸好航空公司还能从过往的销售数据中找到一些线索。
实际上,航空公司在定价上面临着这样一个不确定事件:到底会有多少人以多少的价格来购买相应等级的座位?这个不确定事件包含一个复杂的结果集 B,它由价格 p 和最终销量 x 构成的二元组 (p, x) 构成。
而任何一个结果都会产生一个收益,所以从这个结果集 B 中可以推导出一个收益集 R, R 中的元素是 B 集中各二元组内 p 和 x 的乘积。
在收益集中刨除现有方案收益后剩下的收益里最高的那个就是机会成本,机会成本高于既定收益,就会产生“隐性损失”,为了避免这种损失,航空公司便会将价格按照机会成本来制定。
举个简单的例子,某个航班某一个舱位中有 20 个座位,根据以往的销售数据推算,大概这 20 个座位可能会有如下的收益结果:

从这张表格中可以看出,收益最高的是 (520,18) 的组合,为 9360 元,如果不选择这样的方案,那么机会成本都会高出收益本身,这样就会造成经济损失。所以航空公司在制定机票价格的时候,将会以这个收益作为目标收益。

那么航空公司会把价格就定在 520 元吗?这也未必。过去的数据不能代表今天的情况,航空公司在确定了目标收益之后,还会根据针对本次航班的上座率预估情况来调整价格。
“ 实际上,机票定价问题远没有如此简单,因为光是对往年数据进行统计,整理出过往收入统计表,就已经牵涉到大量统计工作,而推算期望销量就更加复杂,这使得完全预测机票价格几乎成了不可能。虽然如此,我们依然可以从上面的分析中看出基本的市场规律和航空公司的逐利策略,而这些,其实并不像飞机票价格那样变化莫测。”

文章来源公众号:在云端航空
注:本文系网络转载,版权归原作者所有。如涉及作品版权问题,请与我们联系,我们将在第一时间协商版权问题或删除内容!内容为作者个人观点,并不代表本头条号赞同其观点和对其真实性负责。
本站所发布的文字与图片素材为非商业目的改编或整理,版权归原作者所有,如侵权或涉及违法,请联系我们删除,如需转载请保留原文地址:http://www.gzkyz.com.cn/article/94923.html

航利航空教育
倾诉你的情感,分享属于你们的故事 Copyright 2005-2020 www.gzkyz.com.cn 【可可情感网】 版权所有 |
湘ICP备20010517号
声明: 部分信息与图片素材来源于互联网,如内容侵权与违规,请与本站联系,将在三个工作日内处理,互联网不良信息举报邮箱:*****@qq.com